BFS算法核心框架

BFS是什么

核心思想:把一些问题抽象成图,从一个点开始,向四周开始扩散。

BFS 算法都是用「队列」这种数据结构,每次将一个节点周围的所有节点加入队列。

BFS和DFS的区别:BFS 找到的路径一定是最短的,但代价就是空间复杂度可能比 DFS 大很多

算法框架

BFS算法常见的场景:在一幅「图」中找到从起点 start 到终点 target 的最短路径

比如:走迷宫从起点到终点的最短路径、最少次数替换两个单词、连连看游戏…

记住框架,然后根据实际题目进行改动:

1
2
3
4
5
6
7
8
9
10
11
12
13
14
15
16
17
18
19
20
21
22
23
24
25
26
27
// 计算从起点 start 到终点 target 的最近距离
int BFS(Node start, Node target) {
Queue<Node> q; // 核心数据结构
Set<Node> visited; // 避免走回头路

q.offer(start); // 将起点加入队列
visited.add(start);

while (q not empty) {
int sz = q.size();
/* 将当前队列中的所有节点向四周扩散 */
for (int i = 0; i < sz; i++) {
Node cur = q.poll();
/* 划重点:这里判断是否到达终点 */
if (cur is target)
return step;
/* 将 cur 的相邻节点加入队列 */
for (Node x : cur.adj()) {
if (x not in visited) {
q.offer(x);
visited.add(x);
}
}
}
}
// 如果走到这里,说明在图中没有找到目标节点
}

BFS的核心数据结构:队列 q

cur.adj() 泛指 cur 相邻的节点,比如说二维数组中,cur 上下左右四面的位置就是相邻节点;

visited 的主要作用是防止走回头路,大部分时候都是必须的,但是像一般的二叉树结构,没有子节点到父节点的指针,不会走回头路就不需要 visited

111. 二叉树的最小深度

二叉树的最小深度

给定一个二叉树,找出其最小深度。

最小深度是从根节点到最近叶子节点的最短路径上的节点数量。

**说明:**叶子节点是指没有子节点的节点。

示例 1:

1
2
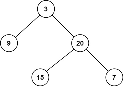
输入:root = [3,9,20,null,null,15,7]
输出:2

示例 2:

1
2
输入:root = [2,null,3,null,4,null,5,null,6]
输出:5

提示:

  • 树中节点数的范围在 [0, 105]
  • -1000 <= Node.val <= 1000

思路与算法

使用BFS框架:明确一下起点 start 和终点 target 是什么,怎么判断到达了终点?

显然起点就是 root 根节点,终点就是最靠近根节点的那个「叶子节点」,叶子节点就是两个子节点都是 null 的节点:

1
2
if (cur.left == null && cur.right == null) 
// 到达叶子节点

while 循环和 for 循环的配合,while 循环控制一层一层往下走,for 循环利用 sz 变量控制从左到右遍历每一层二叉树节点

根据BFS框架解答:

1
2
3
4
5
6
7
8
9
10
11
12
13
14
15
16
17
18
19
20
21
22
23
24
25
26
27
28
29
class Solution {
public int minDepth(TreeNode root) {
//base case
if(root == null) return 0;

//核心数据结构
Queue<TreeNode> q = new LinkedList<>();
q.offer(root);

//res
int depth = 1;

//while 循环控制一层一层往下走
while(!q.isEmpty()){
int sz = q.size();
//for 循环利用 sz 变量控制从左到右遍历每一层二叉树节点
for(int i = 0; i < sz; i++){
TreeNode cur = q.poll();
//判断是否到达终点
if(cur.left == null && cur.right == null) return depth;
//将cur的相邻节点加入队列
if(cur.left != null) q.offer(cur.left);
if(cur.right != null) q.offer(cur.right);
}
depth++;
}
return depth;
}
}

752. 打开转盘锁

标准的BFS算法:打开转盘锁

你有一个带有四个圆形拨轮的转盘锁。每个拨轮都有10个数字: '0', '1', '2', '3', '4', '5', '6', '7', '8', '9' 。每个拨轮可以自由旋转:例如把 '9' 变为 '0''0' 变为 '9' 。每次旋转都只能旋转一个拨轮的一位数字。

锁的初始数字为 '0000' ,一个代表四个拨轮的数字的字符串。

列表 deadends 包含了一组死亡数字,一旦拨轮的数字和列表里的任何一个元素相同,这个锁将会被永久锁定,无法再被旋转。

字符串 target 代表可以解锁的数字,你需要给出解锁需要的最小旋转次数,如果无论如何不能解锁,返回 -1

示例 1:

1
2
3
4
5
6
输入:deadends = ["0201","0101","0102","1212","2002"], target = "0202"
输出:6
解释:
可能的移动序列为 "0000" -> "1000" -> "1100" -> "1200" -> "1201" -> "1202" -> "0202"。
注意 "0000" -> "0001" -> "0002" -> "0102" -> "0202" 这样的序列是不能解锁的,
因为当拨动到 "0102" 时这个锁就会被锁定。

示例 2:

1
2
3
输入: deadends = ["8888"], target = "0009"
输出:1
解释:把最后一位反向旋转一次即可 "0000" -> "0009"。

示例 3:

1
2
3
输入: deadends = ["8887","8889","8878","8898","8788","8988","7888","9888"], target = "8888"
输出:-1
解释:无法旋转到目标数字且不被锁定。

提示:

  • 1 <= deadends.length <= 500
  • deadends[i].length == 4
  • target.length == 4
  • target 不在 deadends 之中
  • targetdeadends[i] 仅由若干位数字组成

思路和算法

抽象成一幅图,每个节点有 8 个相邻的节点,又让你求最短距离

1
2
3
4
5
6
7
8
9
10
11
12
13
14
15
16
17
18
19
20
21
22
23
24
25
26
27
28
29
30
31
32
33
34
35
36
37
38
39
40
41
42
43
44
45
// 将 s[j] 向上拨动一次
String plusOne(String s, int j) {
char[] ch = s.toCharArray();
if (ch[j] == '9')
ch[j] = '0';
else
ch[j] += 1;
return new String(ch);
}
// 将 s[i] 向下拨动一次
String minusOne(String s, int j) {
char[] ch = s.toCharArray();
if (ch[j] == '0')
ch[j] = '9';
else
ch[j] -= 1;
return new String(ch);
}

// BFS 框架,打印出所有可能的密码
void BFS(String target) {
Queue<String> q = new LinkedList<>();
q.offer("0000");

while (!q.isEmpty()) {
int sz = q.size();
/* 将当前队列中的所有节点向周围扩散 */
for (int i = 0; i < sz; i++) {
String cur = q.poll();
/* 判断是否到达终点 */
System.out.println(cur);

/* 将一个节点的相邻节点加入队列 */
for (int j = 0; j < 4; j++) {
String up = plusOne(cur, j);
String down = minusOne(cur, j);
q.offer(up);
q.offer(down);
}
}
/* 在这里增加步数 */
}
return;
}

这段 BFS 代码已经能够穷举所有可能的密码组合了,但是显然不能完成题目,有如下问题需要解决

1、会走回头路。比如说我们从 "0000" 拨到 "1000",但是等从队列拿出 "1000" 时,还会拨出一个 "0000",这样的话会产生死循环。

2、没有终止条件,按照题目要求,我们找到 target 就应该结束并返回拨动的次数。

3、没有对 deadends 的处理,按道理这些「死亡密码」是不能出现的,也就是说你遇到这些密码的时候需要跳过。

修改后:

1
2
3
4
5
6
7
8
9
10
11
12
13
14
15
16
17
18
19
20
21
22
23
24
25
26
27
28
29
30
31
32
33
34
35
36
37
38
39
40
41
42
43
44
45
int openLock(String[] deadends, String target) {
// 记录需要跳过的死亡密码
Set<String> deads = new HashSet<>();
for (String s : deadends) deads.add(s);
// 记录已经穷举过的密码,防止走回头路
Set<String> visited = new HashSet<>();
Queue<String> q = new LinkedList<>();
// 从起点开始启动广度优先搜索
int step = 0;
q.offer("0000");
visited.add("0000");

while (!q.isEmpty()) {
int sz = q.size();
/* 将当前队列中的所有节点向周围扩散 */
for (int i = 0; i < sz; i++) {
String cur = q.poll();

/* 判断是否到达终点 */
if (deads.contains(cur))
continue;
if (cur.equals(target))
return step;

/* 将一个节点的未遍历相邻节点加入队列 */
for (int j = 0; j < 4; j++) {
String up = plusOne(cur, j);
if (!visited.contains(up)) {
q.offer(up);
visited.add(up);
}
String down = minusOne(cur, j);
if (!visited.contains(down)) {
q.offer(down);
visited.add(down);
}
}
}
/* 在这里增加步数 */
step++;
}
// 如果穷举完都没找到目标密码,那就是找不到了
return -1;
}

img.png双向BFS优化

双向 BFS,可以进一步提高算法的效率

区别:传统的 BFS 框架就是从起点开始向四周扩散,遇到终点时停止;而双向 BFS 则是从起点和终点同时开始扩散,当两边有交集的时候停止

双向 BFS 也有局限,因为你必须知道终点在哪里

第二个密码锁的问题,是可以使用双向 BFS 算法来提高效率的,代码稍加修改即可:

1
2
3
4
5
6
7
8
9
10
11
12
13
14
15
16
17
18
19
20
21
22
23
24
25
26
27
28
29
30
31
32
33
34
35
36
37
38
39
40
41
42
43
44
45
46
int openLock(String[] deadends, String target) {
Set<String> deads = new HashSet<>();
for (String s : deadends) deads.add(s);
// 用集合不用队列,可以快速判断元素是否存在
Set<String> q1 = new HashSet<>();
Set<String> q2 = new HashSet<>();
Set<String> visited = new HashSet<>();

int step = 0;
q1.add("0000");
q2.add(target);

while (!q1.isEmpty() && !q2.isEmpty()) {
// 哈希集合在遍历的过程中不能修改,用 temp 存储扩散结果
Set<String> temp = new HashSet<>();

/* 将 q1 中的所有节点向周围扩散 */
for (String cur : q1) {
/* 判断是否到达终点 */
if (deads.contains(cur))
continue;
if (q2.contains(cur))
return step;

visited.add(cur);

/* 将一个节点的未遍历相邻节点加入集合 */
for (int j = 0; j < 4; j++) {
String up = plusOne(cur, j);
if (!visited.contains(up))
temp.add(up);
String down = minusOne(cur, j);
if (!visited.contains(down))
temp.add(down);
}
}
/* 在这里增加步数 */
step++;
// temp 相当于 q1
// 这里交换 q1 q2,下一轮 while 就是扩散 q2
q1 = q2;
q2 = temp;
}
return -1;
}

双向 BFS 还是遵循 BFS 算法框架的,只是不再使用队列,而是使用 HashSet 方便快速判断两个集合是否有交集

另外的一个技巧点就是 while 循环的最后交换 q1q2 的内容,所以只要默认扩散 q1 就相当于轮流扩散 q1q2

其实双向 BFS 还有一个优化,就是在 while 循环开始时做一个判断:

1
2
3
4
5
6
7
8
9
10
// ...
while (!q1.isEmpty() && !q2.isEmpty()) {
if (q1.size() > q2.size()) {
// 交换 q1 和 q2
temp = q1;
q1 = q2;
q2 = temp;
}
// ...